Le proprietà dell'insieme $\mathbb{F}$

Approfondiamo adesso alcune caratteristiche dell'insieme $\mathbb{F}$:

  1. La cardinalità di $\mathbb{F}$ è minore di $+ \infty$, di più

    \begin{displaymath}\vert \mathbb{F}\vert=2(U-L+1)(\beta-1){\beta}^{t-1}\end{displaymath}

    vediamone le ragioni:

    \begin{displaymath}
\begin{array}{ll}
2 & \mbox{per il segno;} \\
(U-L+1) & ...
...\beta-1)}_{d_1}
\underbrace{{\beta}^{t-1}}_{d_i}
\end{array} \end{displaymath}


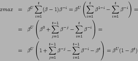
  2. Se $x \in \mathbb{F}$, $x>0$, allora $x \in [xmin,xmax]$ con $xmin={\beta}^{L-1}$ e $xmax={\beta}^U(1-{\beta}^{-t})$: Quello che abbiamo mostrato era basato sul fatto che $x>0$, nel caso in cui $x<0$ allora $x \in [-xmax,-xmin]$, perciò $\mathbb{F}
\subset [-xmax,-xmin] \cup \{0\} \cup [xmin,xmax] $
  3. I valori dell'insieme $\mathbb{F}$ non sono equidistanti tra loro, lo sono solo tra potenze successive.



Morpheus 2004-01-04